2020年初级银行从业《个人理财》易错考点:净现值和内部回报率
2020年初级银行从业《个人理财》易错考点:净现值和内部回报率小编为大家准备好了,备考银行从业考试的时间已经不多,大家一定要坚持下去,坚持每天学习,这样才会顺利通过考试。 小编已为您准备好了下面的银行从业考试知识点,快来看看自己掌握的如何了。
	 
初级银行从业考试考点。净现值和内部回报率
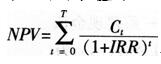
1.净现值(NPV)
	 
净现值(NPv):是指所有现金流的现值之和。净现值为正值,说明投资能够获利:净现值为负值.说明投资是亏损的。
对于一个投资项目,如果NPV>0,表明该项目在r的回报率要求下是可行的.且NPV越大,投资收益越高。如果NPV<0,表明该项目在r的回报率要求下是不可行的。
2.内部回报率(IRR)
	 
内部回报率(IRR),又称内部报酬率或者内部收益率,是指使现金流的现值之和等于零的利率,即净现值等于0的贴现率。
对于一个投资项目,如果rIRR,表明该项目无利可图。
一分耕耘一分收获。备考阶段,一定要及时查缺补漏,弥补不足。 更多银行从业资格考试知识点都在这里哦,小伙伴们要坚持学习。 银行从业资格考试报名时间从5月28日开始,想要报名的小伙伴们要记得及时报名。
	
扫描/长按下方二维码,即可获取考试报名、考试教材、考试押题等信息!
